Ru
10:18 / 07 Aprel 2026

Unun topdansatış qiymətləri

Unun topdansatış qiymətləri
Eye

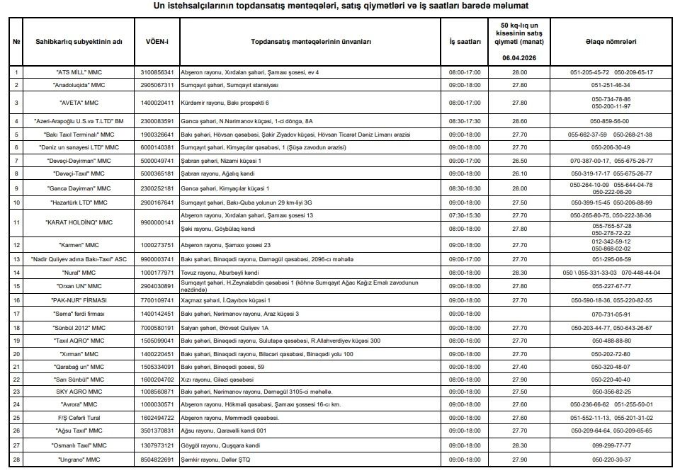
6 aprel tarixinə Azərbaycanda un istehsalçılarının topdansatış məntəqələrində 50 kq-lıq un kisəsinin satış qiyməti 26,1-28,6 manat arasında dəyişib.

Bu barədə Bakupost.az-a Prezident yanında Antiinhisar və İstehlak Bazarlarına Nəzarət Dövlət Agentliyindən bildirilib.

Məlumata görə, unun ən aşağı topdansatış qiyməti 26,1 manat olmaqla Şabran rayonunda, ən yüksək topdansatış qiyməti 28,6 manat olmaqla Gəncə şəhərində qeydə alınıb.


Şərhlər
Captcha
Facebook
Bizi facebook-da izləyin
Tiktok
Bizi tiktok-da izləyin
Youtube
Bizi youtube-da izləyin
Son xəbərlər
Çox oxunanlar